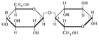
Целлобиоза.


 

Оглавление