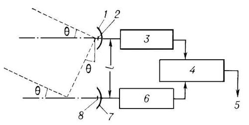
Рис. 2. Схема определения одной угловой координаты объекта методом сравнения фаз: 1 — отражатель 1-й антенны; 2 — облучатель 1-й антенны; 3 — приёмник 1-го канала; 4 — фазометр; 5 — выход к устройству автоматического сопровождения объекта антенной системой; 6 — приёмник 2-го канала; 7 — отражатель 2-й антенны; 8 — облучатель 2-й антенны. Штрихом показано направление прихода сигналов от объекта, штрих-пунктиром — направление максимумов диаграмм направленности антенн.


 

Оглавление