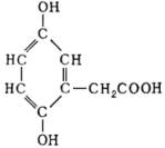
Гомогентизиновая кислота, промежуточный продукт распада в организме животных и человека циклических аминокислот — фенилаланина и тирозина.

При наследственном заболевании, выражающемся в нарушении обмена этих аминокислот, — алкаптонурии — из-за отсутствия оксидазы Г. к. процесс останавливается на стадии образования Г. к., которая выводится с мочой.